Официальное опубликование правовых актов
ОФИЦИАЛЬНОЕ ОПУБЛИКОВАНИЕ
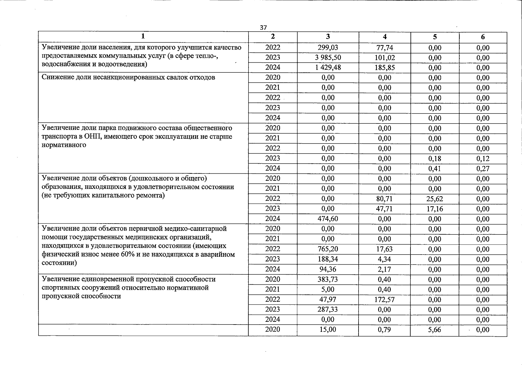
Указ Главы Республики Дагестан от 05.12.2025 № 214
"Об утверждении Программы развития инфраструктуры опорных населенных пунктов Республики Дагестан"
Номер опубликования: 0500202512090001
Дата опубликования: 09.12.2025
Страница №38 из 42:
Увеличить