Официальное опубликование правовых актов
ОФИЦИАЛЬНОЕ ОПУБЛИКОВАНИЕ
Приказ Агентства по охране культурного наследия Республики Дагестан от 16.02.2026 № 11/26-од
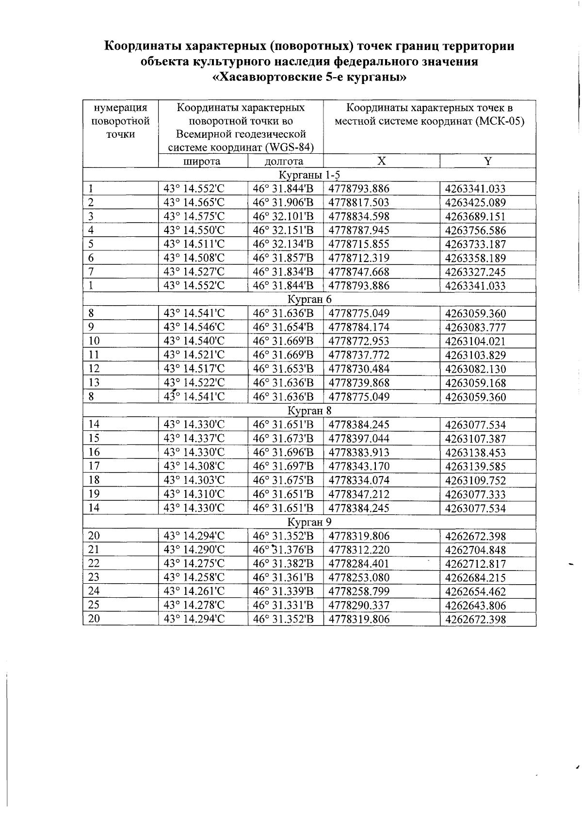
"Об утверждении границ территории объекта культурного наследия федерального значения "Хасавюртовские 5-е курганы" (Республика Дагестан, Хасавюртовский район, г. Хасавюрт, 3 км от города, по обеим сторонам дороги Хасавюрт — Грозный)"
(Зарегистрирован 03.03.2026 № 8955)
Номер опубликования: 0501202603060010
Дата опубликования: 06.03.2026
Страница №5 из 10:
Увеличить