Официальное опубликование правовых актов
ОФИЦИАЛЬНОЕ ОПУБЛИКОВАНИЕ
Постановление Правительства Республики Ингушетия от 27.02.2023 № 26
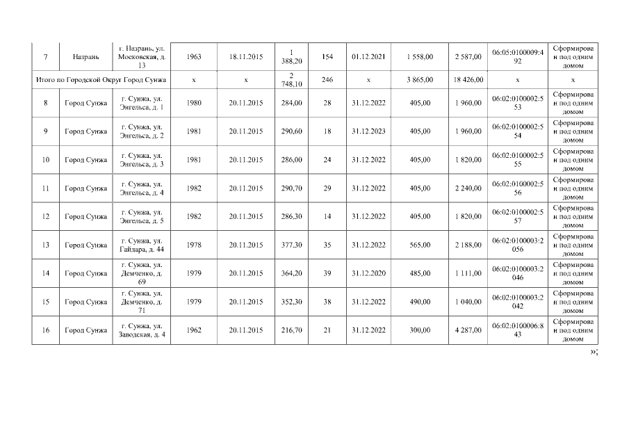
"О внесении изменений в республиканскую адресную программу "Переселение граждан из аварийного жилищного фонда Республики Ингушетия в 2019-2024 годах"
Номер опубликования: 0600202303020005
Дата опубликования: 02.03.2023
Страница №9 из 29:
Увеличить