Официальное опубликование правовых актов
ОФИЦИАЛЬНОЕ ОПУБЛИКОВАНИЕ
Постановление Правительства Республики Ингушетия от 23.09.2025 № 110
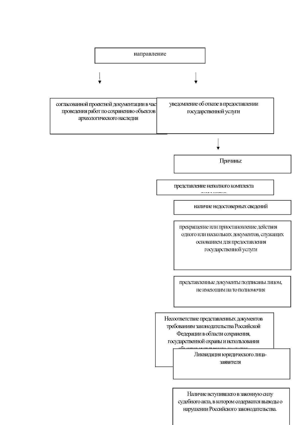
"Об утверждении Административного регламента предоставления Комитетом государственной охраны объектов культурного наследия Республики Ингушетия государственной услуги "Согласование разделов проектной документации об обеспечении сохранности объекта культурного наследия, включённого в единый государственный реестр объектов культурного наследия (памятников истории и культуры) народов Российской Федерации, выявленного объекта культурного наследия или о проведении спасательных археологических полевых работ, либо проекта обеспечения сохранности указанных объектов или плана проведения спасательных археологических полевых работ, включающих оценку воздействия проводимых работ на указанные объекты культурного наследия при проведении изыскательских, проектных, земляных, строительных, мелиоративных, хозяйственных и иных работ в границах территории указанных объектов либо на земельном участке, непосредственно связанном с земельным участком в границах территории указанных объектов культурного наследия"
Номер опубликования: 0600202510010001
Дата опубликования: 01.10.2025
Страница №31 из 46:
Увеличить