Официальное опубликование правовых актов
ОФИЦИАЛЬНОЕ ОПУБЛИКОВАНИЕ
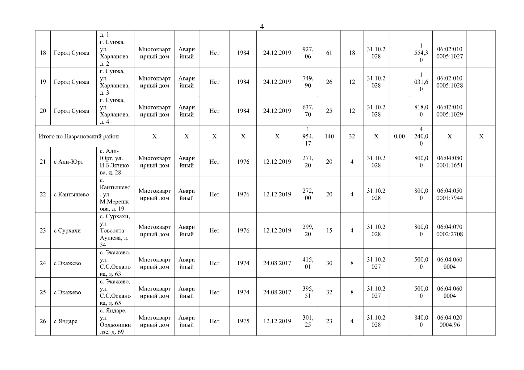
Постановление Правительства Республики Ингушетия от 08.10.2025 № 122
"Об утверждении республиканской адресной программы "Переселение граждан из аварийного жилищного фонда Республики Ингушетия в 2025 - 2027 годах"
Номер опубликования: 0600202510160005
Дата опубликования: 16.10.2025
Страница №30 из 43:
Увеличить