Официальное опубликование правовых актов
ОФИЦИАЛЬНОЕ ОПУБЛИКОВАНИЕ
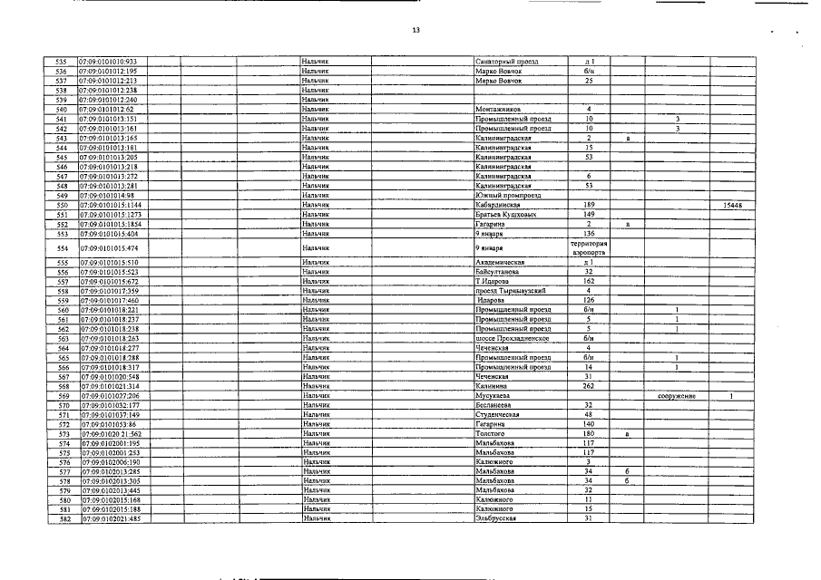
Распоряжение Правительства Кабардино-Балкарской Республики от 18.12.2017 № 728-рп
Номер опубликования: 0700201712250001
Дата опубликования: 25.12.2017
Страница №14 из 19:
Увеличить