Официальное опубликование правовых актов
ОФИЦИАЛЬНОЕ ОПУБЛИКОВАНИЕ
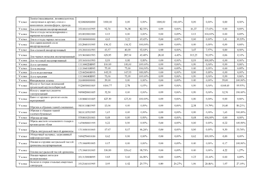
Постановление Правительства Кабардино-Балкарской Республики от 29.12.2017 № 245-ПП
"О внесении изменений в Территориальную схему обращения с отходами, в том числе с твердыми коммунальными отходами, в Кабардино-Балкарской Республике"
Номер опубликования: 0700201801040001
Дата опубликования: 04.01.2018
Страница №176 из 355:
Увеличить