Официальное опубликование правовых актов
ОФИЦИАЛЬНОЕ ОПУБЛИКОВАНИЕ
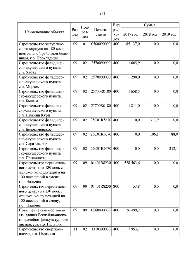
Закон Кабардино-Балкарской Республики от 29.12.2017 № 57-РЗ
"О внесении изменений в Закон Кабардино-Балкарской Республики "О республиканском бюджете Кабардино-Балкарской Республики на 2017 год и на плановый период 2018 и 2019 годов"
Номер опубликования: 0700201801040002
Дата опубликования: 04.01.2018
Страница №851 из 892:
Увеличить