Официальное опубликование правовых актов
ОФИЦИАЛЬНОЕ ОПУБЛИКОВАНИЕ
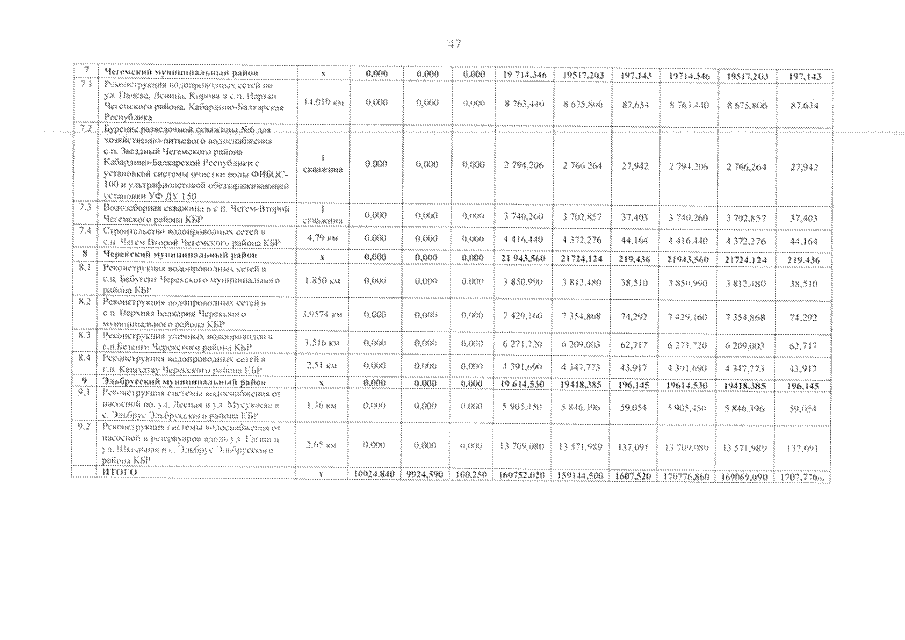
Постановление Правительства Кабардино-Балкарской Республики от 06.07.2020 № 143-ПП
"О внесении изменений в государственную программу Кабардино-Балкарской Республики "Обеспечение жильем и коммунальными услугами населения Кабардино-Балкарской Республики"
Номер опубликования: 0700202007100007
Дата опубликования: 10.07.2020
Страница №48 из 57:
Увеличить