Официальное опубликование правовых актов
ОФИЦИАЛЬНОЕ ОПУБЛИКОВАНИЕ
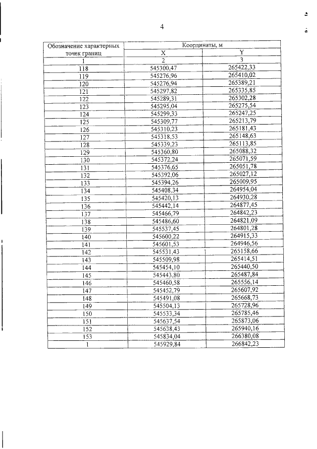
Постановление Правительства Кабардино-Балкарской Республики от 12.02.2021 № 15-ПП
"О внесении изменений в постановление Правительства Кабардино-Балкарской Республики от 26 февраля 2000 г. № 75 и об утверждении положений о памятниках природы регионального значения"
Номер опубликования: 0700202102180002
Дата опубликования: 18.02.2021
Страница №152 из 160:
Увеличить