Официальное опубликование правовых актов
ОФИЦИАЛЬНОЕ ОПУБЛИКОВАНИЕ
Постановление Правительства Кабардино-Балкарской Республики от 29.12.2021 № 272-ПП
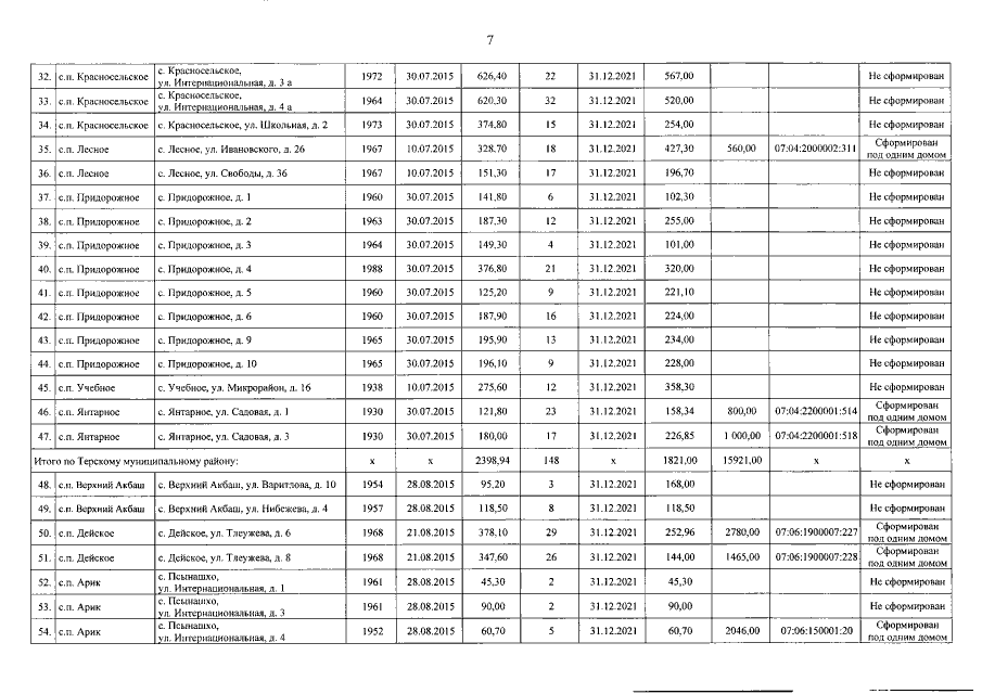
"О внесении изменений в республиканскую адресную программу "Переселение граждан из аварийного жилищного фонда на территории Кабардино-Балкарской Республики в 2019 – 2023 годах"
Номер опубликования: 0700202112310003
Дата опубликования: 31.12.2021
Страница №8 из 16:
Увеличить