Официальное опубликование правовых актов
ОФИЦИАЛЬНОЕ ОПУБЛИКОВАНИЕ
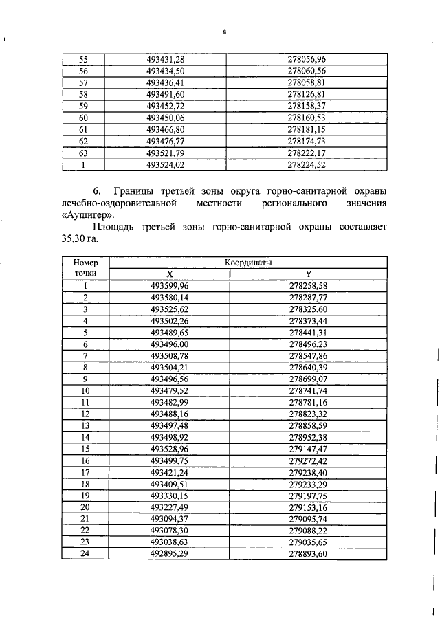
Постановление Правительства Кабардино-Балкарской Республики от 29.12.2021 № 278-ПП
"Об установлении границ и режима округа горно-санитарной охраны лечебно-оздоровительной местности регионального значения "Аушигер" и внесении изменений в постановление Правительства Кабардино-Балкарской Республики от 2 апреля 2004 г. № 98-ПП"
Номер опубликования: 0700202112310014
Дата опубликования: 31.12.2021
Страница №6 из 12:
Увеличить