Официальное опубликование правовых актов
ОФИЦИАЛЬНОЕ ОПУБЛИКОВАНИЕ
Постановление Правительства Кабардино-Балкарской Республики от 10.01.2022 № 1-ПП
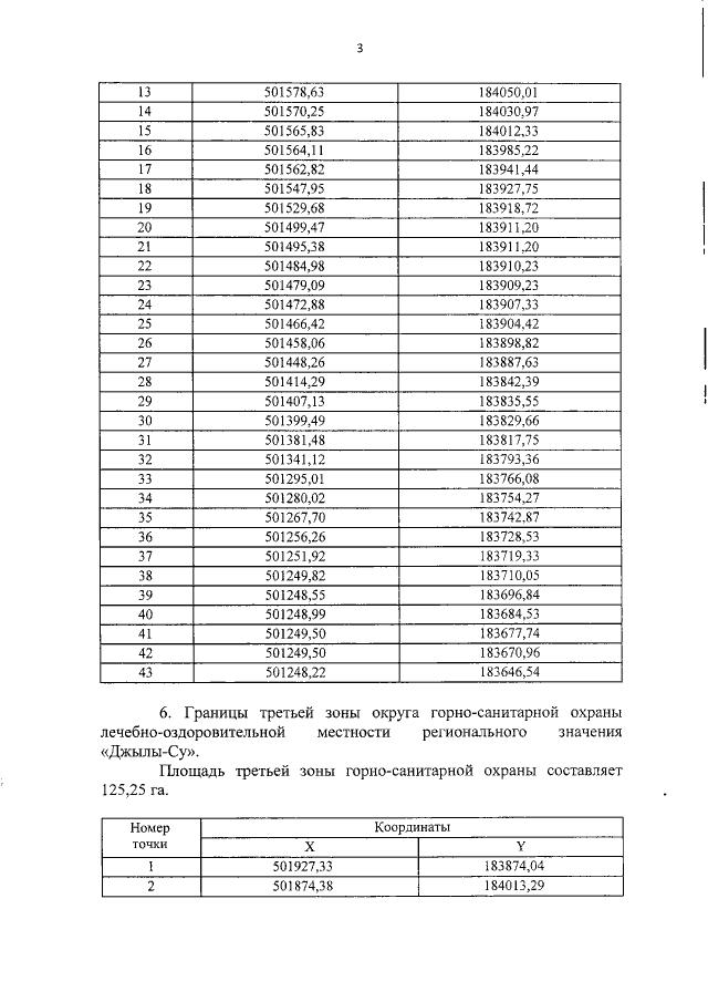
"О некоторых мерах по упорядочению использования территории, приуроченной к источникам минеральных вод "Джылы-Су", установлении границ и режима округа горно-санитарной охраны лечебно-оздоровительной местности регионального значения "Джылы-Су" и внесении изменений в постановление Правительства Кабардино-Балкарской Республики от 28 декабря 2002 г. № 541-ПП"
Номер опубликования: 0700202201140001
Дата опубликования: 14.01.2022
Страница №5 из 10:
Увеличить