Официальное опубликование правовых актов
ОФИЦИАЛЬНОЕ ОПУБЛИКОВАНИЕ
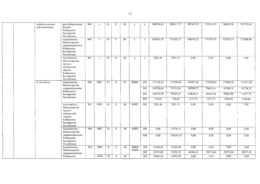
Постановление Правительства Кабардино-Балкарской Республики от 17.03.2022 № 57-ПП
"О внесении изменений в государственную программу Кабардино-Балкарской Республики "Развитие здравоохранения в Кабардино-Балкарской Республике"
Номер опубликования: 0700202203250006
Дата опубликования: 25.03.2022
Страница №14 из 86:
Увеличить