Официальное опубликование правовых актов
ОФИЦИАЛЬНОЕ ОПУБЛИКОВАНИЕ
Постановление Правительства Кабардино-Балкарской Республики от 18.03.2022 № 58-ПП
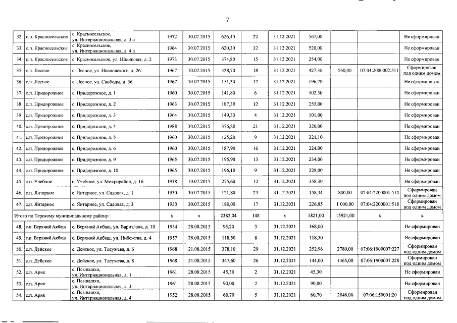
"О внесении изменений в республиканскую адресную программу "Переселение граждан из аварийного жилищного фонда на территории Кабардино-Балкарской Республики в 2019-2023 годах"
Номер опубликования: 0700202203250021
Дата опубликования: 25.03.2022
Страница №8 из 16:
Увеличить