Официальное опубликование правовых актов
ОФИЦИАЛЬНОЕ ОПУБЛИКОВАНИЕ
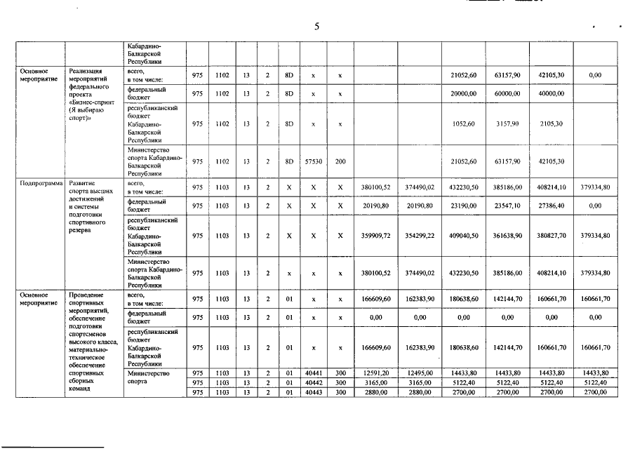
Постановление Правительства Кабардино-Балкарской Республики от 29.03.2022 № 70-ПП
"О внесении изменений в приложение № 4 к государственной программе Кабардино-Балкарской Республики "Развитие физической культуры и спорта в Кабардино-Балкарской Республике" `"
Номер опубликования: 0700202203300005
Дата опубликования: 30.03.2022
Страница №6 из 11:
Увеличить