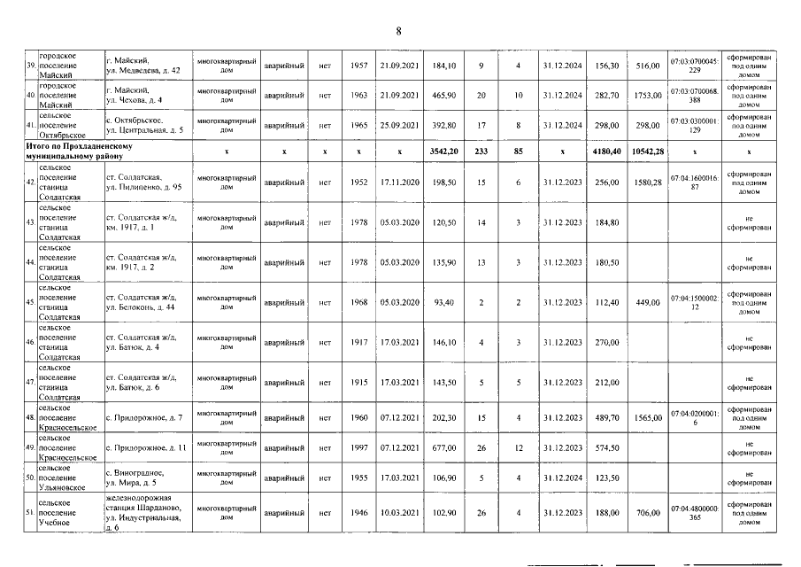
Постановление Правительства Кабардино-Балкарской Республики от 12.04.2023 № 66-ПП
"О внесении изменений в республиканскую адресную программу "Переселение граждан из аварийного жилищного фонда на территории Кабардино-Балкарской Республики в 2022-2025 годах"
"О внесении изменений в республиканскую адресную программу "Переселение граждан из аварийного жилищного фонда на территории Кабардино-Балкарской Республики в 2022-2025 годах"
Номер опубликования: 0700202304190006
Дата опубликования:
19.04.2023
