Официальное опубликование правовых актов
ОФИЦИАЛЬНОЕ ОПУБЛИКОВАНИЕ
Постановление Правительства Кабардино-Балкарской Республики от 16.01.2024 № 1-ПП
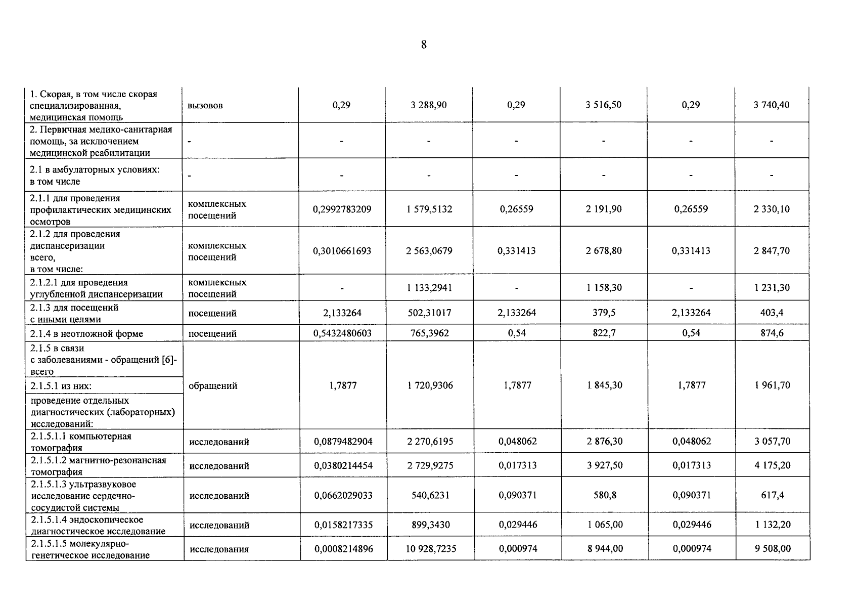
"О внесении изменений в Программу государственных гарантий бесплатного оказания гражданам медицинской помощи в Кабардино-Балкарской Республике на 2023 год и на плановый период 2024 и 2025 годов"
Номер опубликования: 0700202401220001
Дата опубликования: 22.01.2024
Страница №9 из 27:
Увеличить