Официальное опубликование правовых актов
ОФИЦИАЛЬНОЕ ОПУБЛИКОВАНИЕ
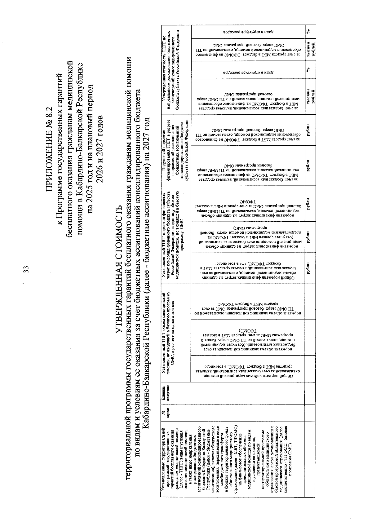
Постановление Правительства Кабардино-Балкарской Республики от 04.08.2025 № 123-ПП
"О внесении изменений в Программу государственных гарантий бесплатного оказания гражданам медицинской помощи в Кабардино-Балкарской Республике на 2025 год и на плановый период 2026 и 2027 годов"
Номер опубликования: 0700202508070005
Дата опубликования: 07.08.2025
Страница №34 из 107:
Увеличить