Официальное опубликование правовых актов
ОФИЦИАЛЬНОЕ ОПУБЛИКОВАНИЕ
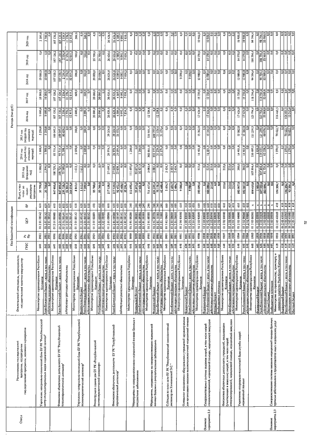
Постановление Правительства Республики Калмыкия от 24.05.2016 № 171
"О внесении изменений в Государственную программу "Развитие здравоохранения Республики Калмыкия на 2013-2020 годы", утвержденную постановлением Правительства Республики Калмыкия от 11 июля 2013 г. № 338"
Номер опубликования: 0800201605310002
Дата опубликования: 31.05.2016
Страница №32 из 47:
Увеличить