Официальное опубликование правовых актов
ОФИЦИАЛЬНОЕ ОПУБЛИКОВАНИЕ
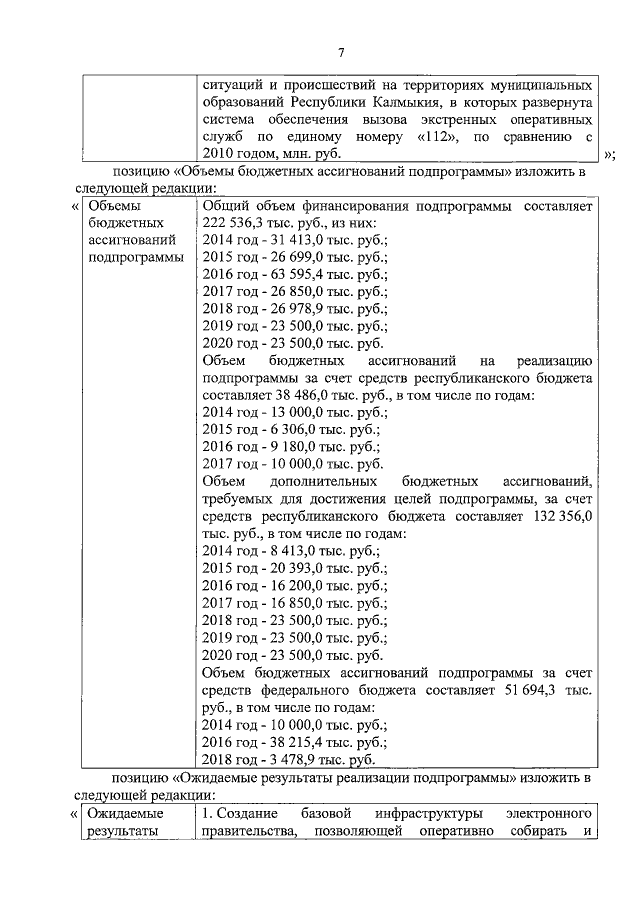
Постановление Правительства Республики Калмыкия от 13.03.2017 № 84
"О внесении изменений в государственную программу "Информационное общество Республики Калмыкия на 2013 - 2020 годы", утвержденную постановлением Правительства Республики Калмыкия от 6 июня 2013 г. № 274"
Номер опубликования: 0800201703220006
Дата опубликования: 22.03.2017
Страница №7 из 42:
Увеличить