Официальное опубликование правовых актов
ОФИЦИАЛЬНОЕ ОПУБЛИКОВАНИЕ
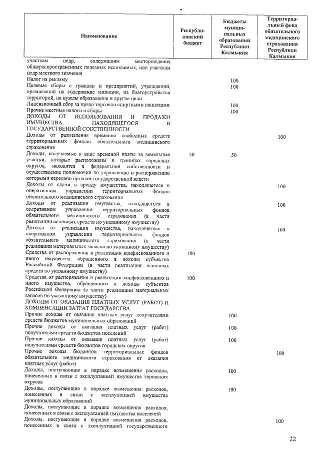
Закон Республики Калмыкия от 20.12.2017 № 267-V-З
"О республиканском бюджете на 2018 год и на плановый период 2019 и 2020 годов"
Номер опубликования: 0800201712280012
Дата опубликования: 28.12.2017
Страница №22 из 320:
Увеличить