Официальное опубликование правовых актов
ОФИЦИАЛЬНОЕ ОПУБЛИКОВАНИЕ
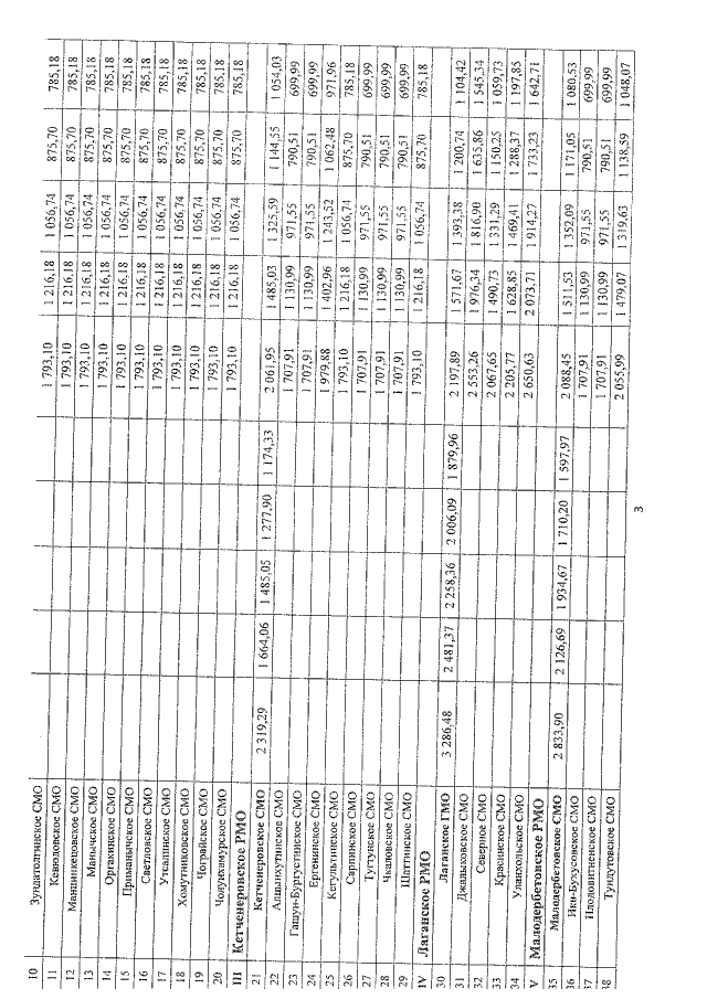
Постановление Правительства Республики Калмыкия от 17.03.2020 № 60
"О региональных стандартах стоимости жилищно-коммунальных услуг по Республике Калмыкия на 2020 год"
Номер опубликования: 0800202003200006
Дата опубликования: 20.03.2020
Страница №3 из 61:
Увеличить