Постановление Правительства Республики Калмыкия от 17.04.2020 № 112
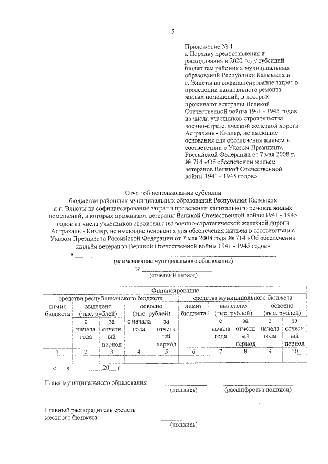
"Об утверждении Порядка предоставления и расходования в 2020 году субсидий бюджетам районных муниципальных образований Республики Калмыкия и г. Элиста на софинансирование затрат в проведении капитального ремонта жилых помещений, в которых проживают ветераны Великой Отечественной войны 1941 - 1945 годов из числа участников строительства военно-стратегической железной дороги Астрахань - Кизляр, не имеющие основания для обеспечения жильем в соответствии с Указом Президента Российской Федерации от 7 мая 2008 г. № 714 "Об обеспечении жильем ветеранов Великой Отечественной войны 1941 - 1945 годов"
"Об утверждении Порядка предоставления и расходования в 2020 году субсидий бюджетам районных муниципальных образований Республики Калмыкия и г. Элиста на софинансирование затрат в проведении капитального ремонта жилых помещений, в которых проживают ветераны Великой Отечественной войны 1941 - 1945 годов из числа участников строительства военно-стратегической железной дороги Астрахань - Кизляр, не имеющие основания для обеспечения жильем в соответствии с Указом Президента Российской Федерации от 7 мая 2008 г. № 714 "Об обеспечении жильем ветеранов Великой Отечественной войны 1941 - 1945 годов"
Номер опубликования: 0800202004210004
Дата опубликования:
21.04.2020
