Официальное опубликование правовых актов
ОФИЦИАЛЬНОЕ ОПУБЛИКОВАНИЕ
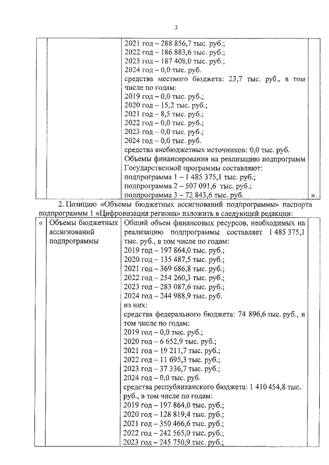
Постановление Правительства Республики Калмыкия от 31.05.2021 № 194
"О внесении изменений в государственную программу Республики Калмыкия "Информационное общество Республики Калмыкия", утвержденную постановлением Правительства Республики Калмыкия от 17 декабря 2018 г. № 388"
Номер опубликования: 0800202106020002
Дата опубликования: 02.06.2021
Страница №3 из 24:
Увеличить