Указ Главы Республики Калмыкия от 27.12.2024 № 315
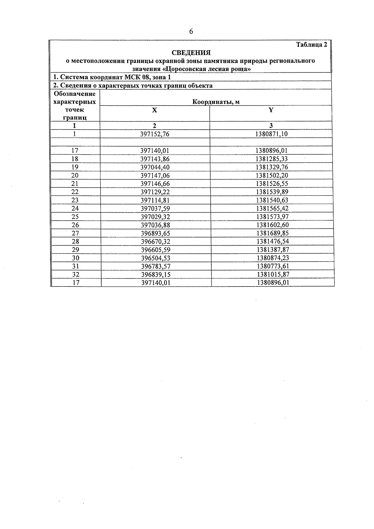
"Об охранной зоне памятника природы Республики Калмыкия "Цоросовская лесная роща"
"Об охранной зоне памятника природы Республики Калмыкия "Цоросовская лесная роща"
Номер опубликования: 0800202412280008
Дата опубликования:
28.12.2024
