Официальное опубликование правовых актов
ОФИЦИАЛЬНОЕ ОПУБЛИКОВАНИЕ
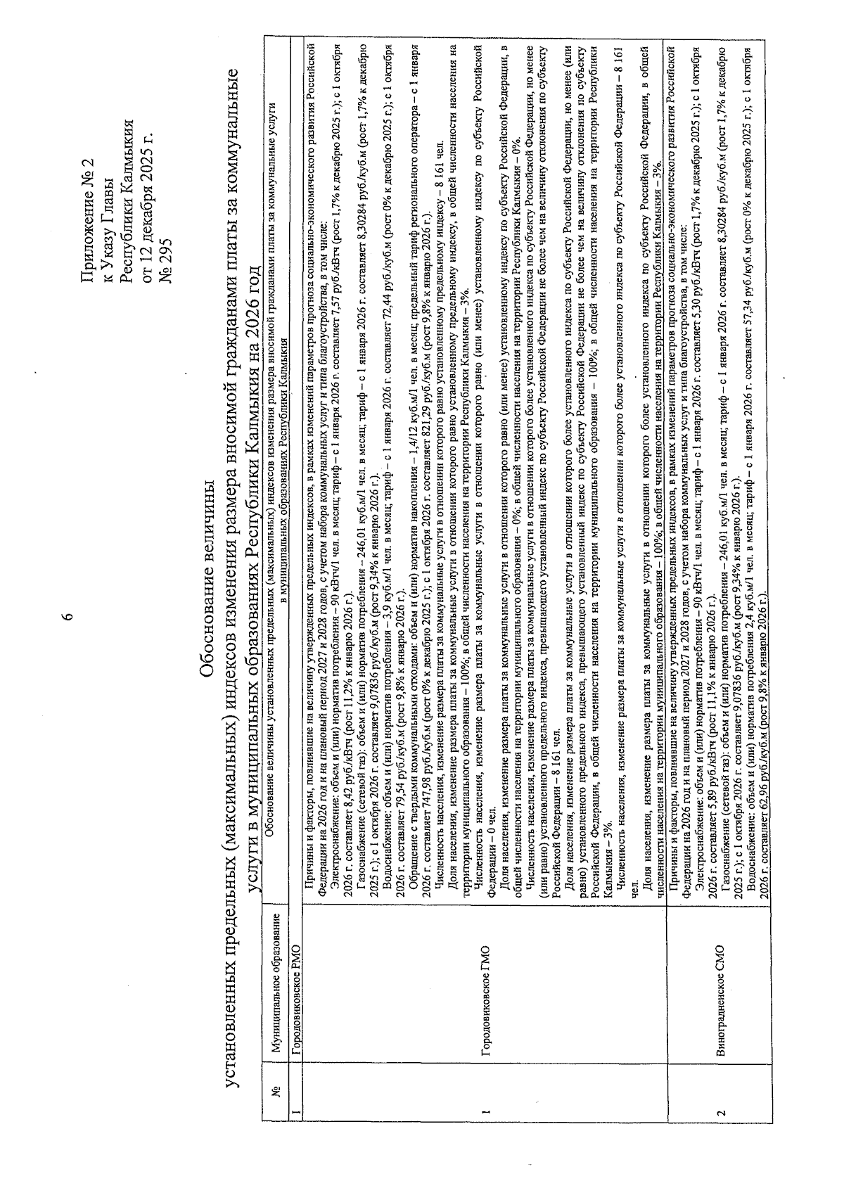
Указ Главы Республики Калмыкия от 12.12.2025 № 295
"Об утверждении предельных (максимальных) индексов изменения размера вносимой гражданами платы за коммунальные услуги в муниципальных образованиях Республики Калмыкия на 2026 год"
Номер опубликования: 0800202512170004
Дата опубликования: 17.12.2025
Страница №6 из 62:
Увеличить