Официальное опубликование правовых актов
ОФИЦИАЛЬНОЕ ОПУБЛИКОВАНИЕ
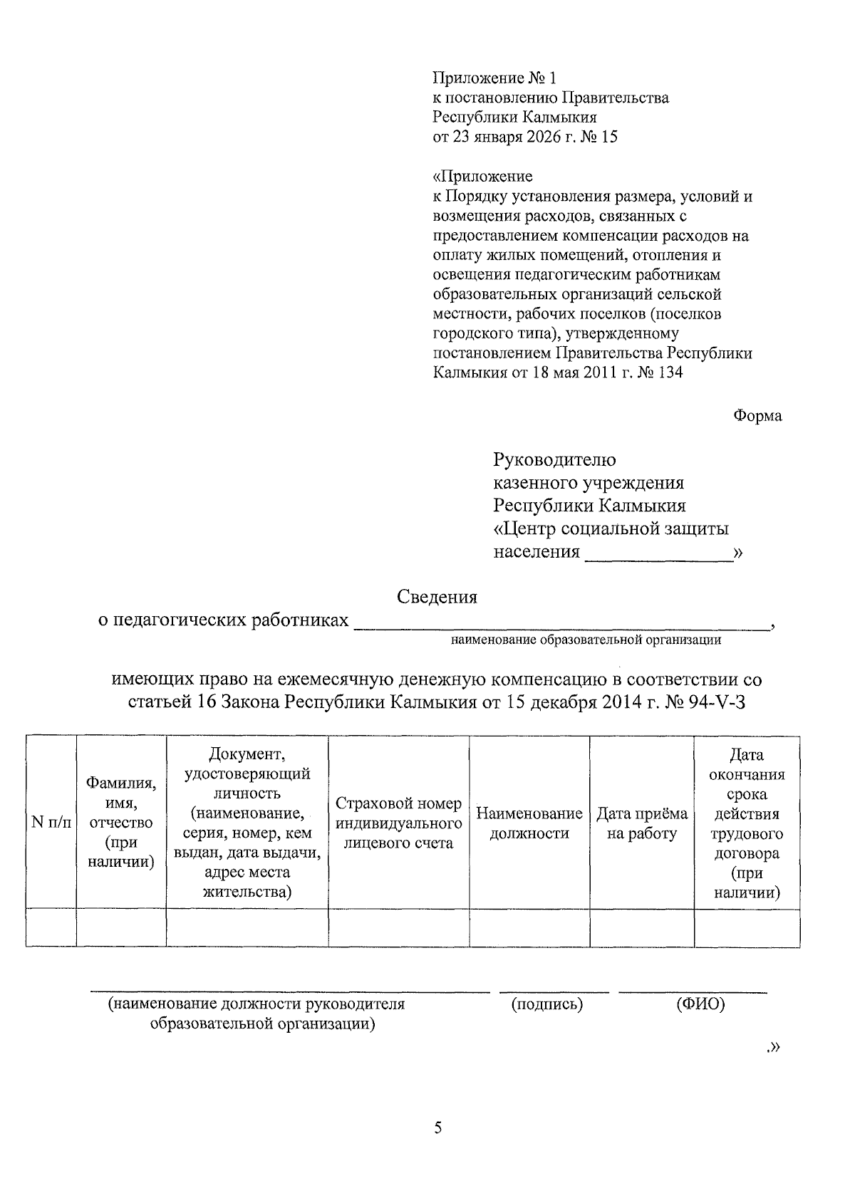
Постановление Правительства Республики Калмыкия от 23.01.2026 № 15
"О внесении изменений в некоторые постановления Правительства Республики Калмыкия"
Номер опубликования: 0800202601270006
Дата опубликования: 27.01.2026
Страница №5 из 7:
Увеличить