Официальное опубликование правовых актов
ОФИЦИАЛЬНОЕ ОПУБЛИКОВАНИЕ
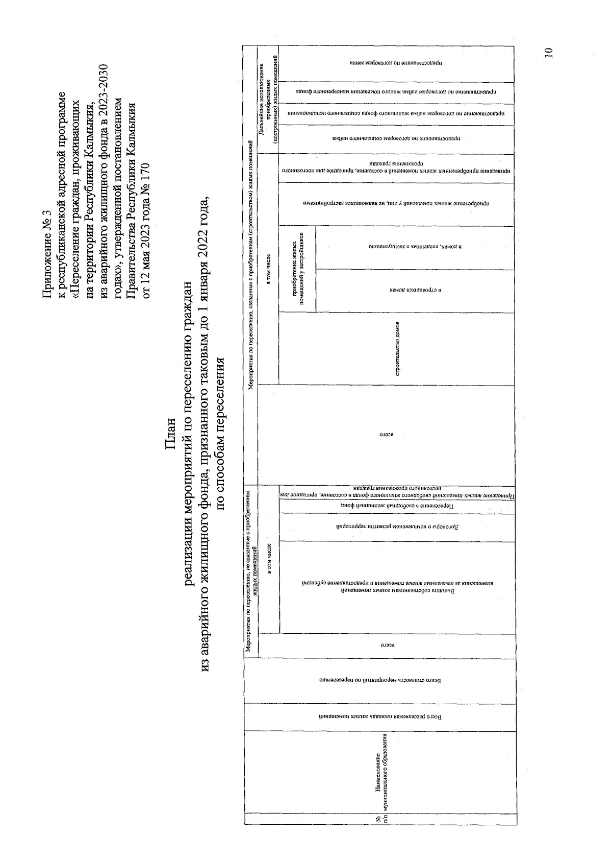
Постановление Правительства Республики Калмыкия от 06.03.2026 № 71
"О внесении изменений в республиканскую адресную программу "Переселение граждан, проживающих на территории Республики Калмыкия, из аварийного жилищного фонда в 2023 - 2030 гг.", утвержденную постановлением Правительства Республики Калмыкия от 12 мая 2023 г. № 170"
Номер опубликования: 0800202603130003
Дата опубликования: 13.03.2026
Страница №10 из 16:
Увеличить