Официальное опубликование правовых актов
ОФИЦИАЛЬНОЕ ОПУБЛИКОВАНИЕ
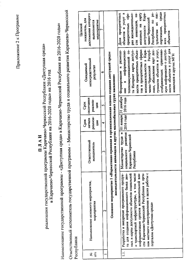
Постановление Правительства Карачаево-Черкесской Республики от 02.12.2015 № 335
"Об утверждении государственной программы Карачаево-Черкесской Республики "Доступная среда" в Карачаево-Черкесской Республике на 2016-2020 годы"
Номер опубликования: 0900201512100002
Дата опубликования: 10.12.2015
Страница №70 из 93:
Увеличить