Официальное опубликование правовых актов
ОФИЦИАЛЬНОЕ ОПУБЛИКОВАНИЕ
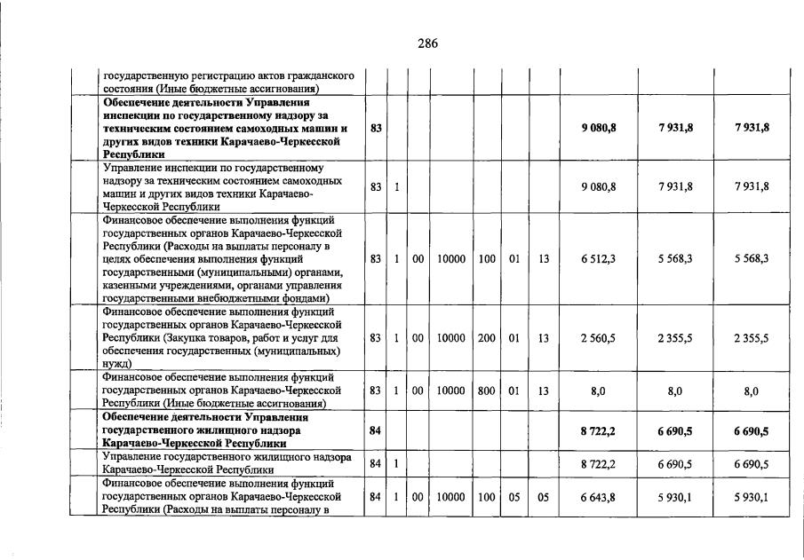
Закон Карачаево-Черкесской Республики от 17.12.2018 № 81-РЗ
"О внесении изменений в Закон Карачаево-Черкесской Республики "О республиканском бюджете Карачаево-Черкесской Республики на 2018 год и на плановый период 2019 и 2020 годов"
Номер опубликования: 0900201812190001
Дата опубликования: 19.12.2018
Страница №286 из 309:
Увеличить