Официальное опубликование правовых актов
ОФИЦИАЛЬНОЕ ОПУБЛИКОВАНИЕ
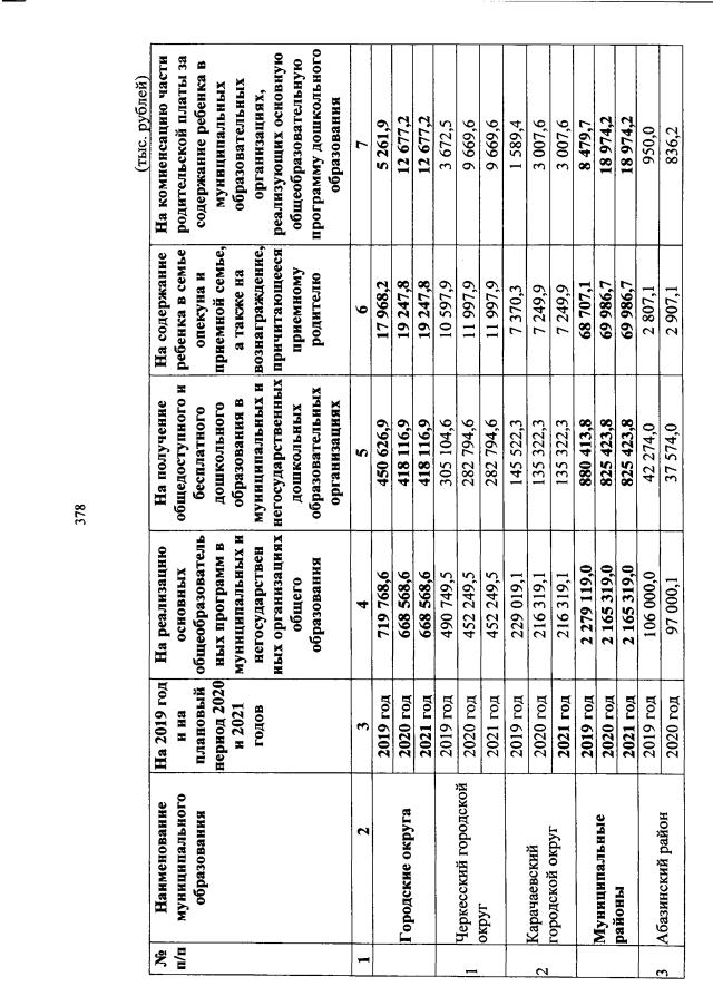
Закон Карачаево-Черкесской Республики от 13.12.2019 № 62-PЗ
"О внесении изменений в Закон Карачаево-Черкесской Республики "О республиканском бюджете Карачаево-Черкесской Республики на 2019 год и на плановый период 2020 и 2021 годов"
Номер опубликования: 0900201912180001
Дата опубликования: 18.12.2019
Страница №378 из 386:
Увеличить