Официальное опубликование правовых актов
ОФИЦИАЛЬНОЕ ОПУБЛИКОВАНИЕ
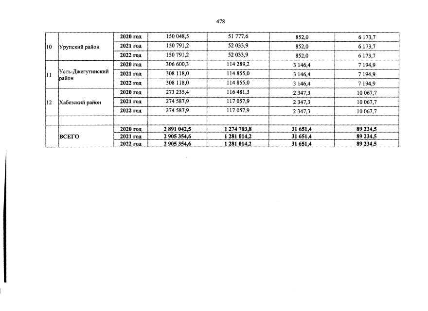
Закон Карачаево-Черкесской Республики от 19.12.2019 № 70-РЗ
"О республиканском бюджете Карачаево-Черкесской Республики на 2020 год и на плановый период 2021 и 2022 годов"
Номер опубликования: 0900201912230005
Дата опубликования: 23.12.2019
Страница №478 из 487:
Увеличить