Официальное опубликование правовых актов
ОФИЦИАЛЬНОЕ ОПУБЛИКОВАНИЕ
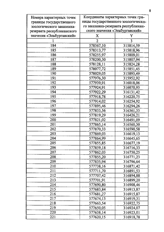
Постановление Правительства Карачаево-Черкесской Республики от 29.10.2020 № 239
"Об утверждении Положения о государственном зоологическом заказнике-резервате республиканского значения "Эльбурганский" и его границ"
Номер опубликования: 0900202011030004
Дата опубликования: 03.11.2020
Страница №15 из 34:
Увеличить