Официальное опубликование правовых актов
ОФИЦИАЛЬНОЕ ОПУБЛИКОВАНИЕ
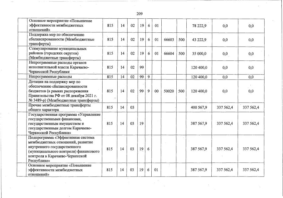
Закон Карачаево-Черкесской Республики от 07.07.2022 № 48-РЗ
"О внесении изменений в Закон Карачаево-Черкесской Республики "О республиканском бюджете Карачаево-Черкесской Республики на 2022 год и на плановый период 2023 и 2024 годов"
Номер опубликования: 0900202207080005
Дата опубликования: 08.07.2022
Страница №209 из 445:
Увеличить