Официальное опубликование правовых актов
ОФИЦИАЛЬНОЕ ОПУБЛИКОВАНИЕ
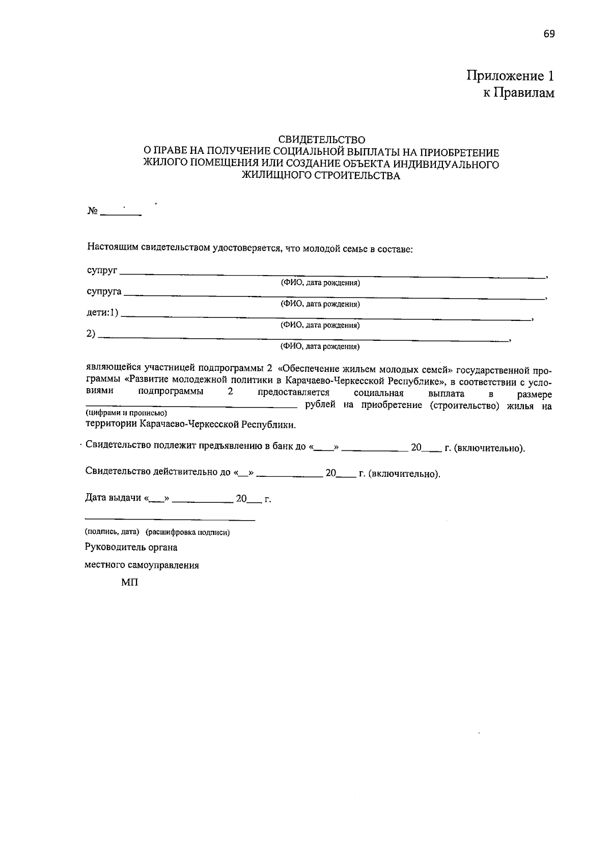
Постановление Правительства Карачаево-Черкесской Республики от 26.09.2023 № 268
"Об утверждении государственной программы "Развитие молодежной политики в Карачаево-Черкесской Республике"
Номер опубликования: 0900202310030006
Дата опубликования: 03.10.2023
Страница №71 из 86:
Увеличить