Официальное опубликование правовых актов
ОФИЦИАЛЬНОЕ ОПУБЛИКОВАНИЕ
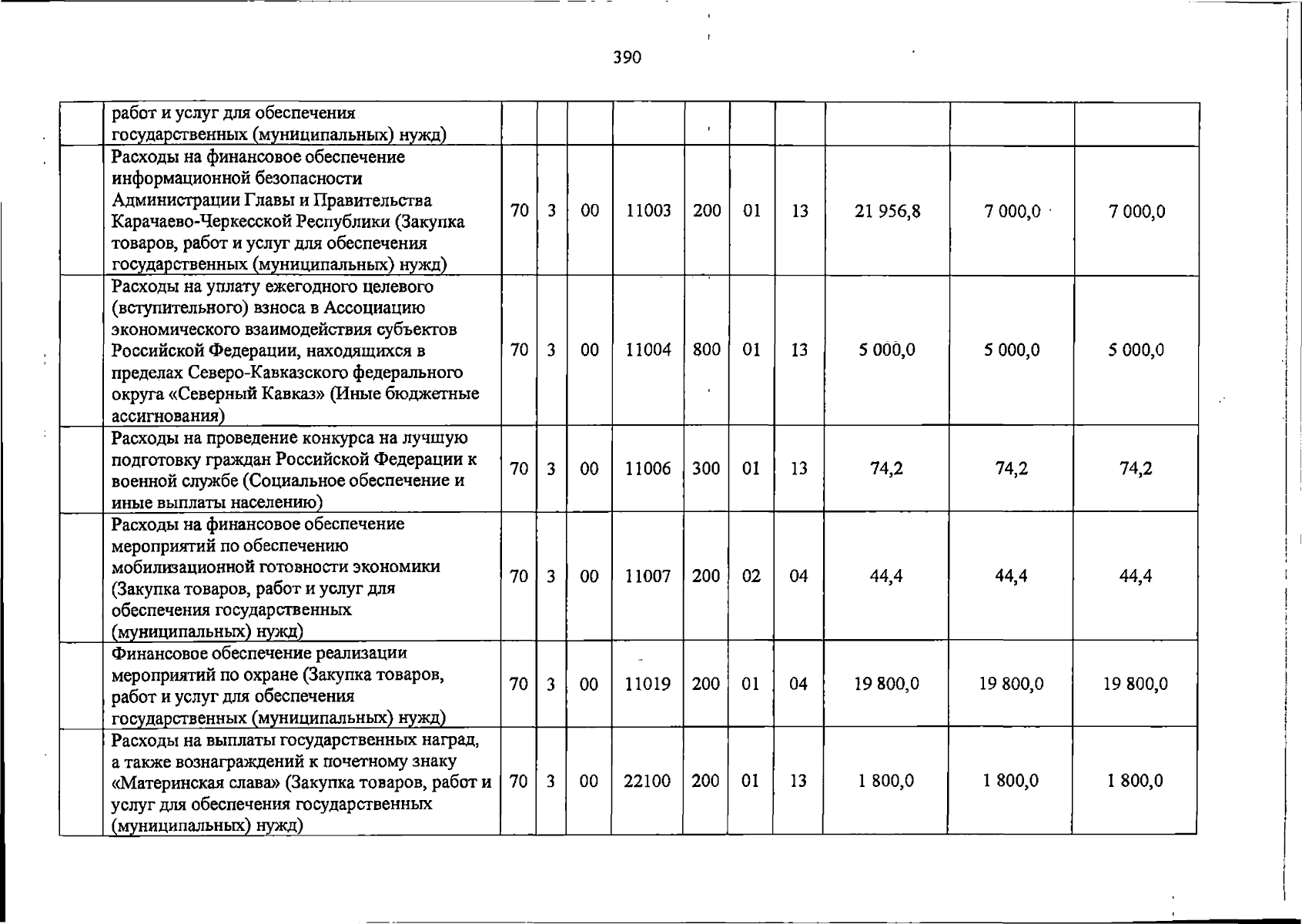
Закон Карачаево-Черкесской Республики от 23.03.2026 № 21-РЗ
"О внесении изменений в Закон Карачаево-Черкесской Республики "О республиканском бюджете Карачаево-Черкесской Республики на 2026 год и на плановый период 2027 и 2028 годов"
Номер опубликования: 0900202603270001
Дата опубликования: 27.03.2026
Страница №390 из 421:
Увеличить