Официальное опубликование правовых актов
ОФИЦИАЛЬНОЕ ОПУБЛИКОВАНИЕ
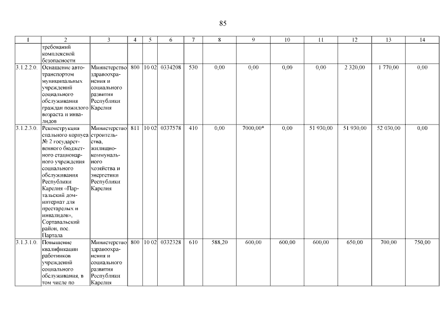
Постановление Правительства Республики Карелия от 30.11.2015 № 371-П
"О внесении изменения в постановление Правительства Республики Карелия от 2 июня 2014 года № 169-П"
Номер опубликования: 1000201512010006
Дата опубликования: 01.12.2015
Страница №85 из 91:
Увеличить