Официальное опубликование правовых актов
ОФИЦИАЛЬНОЕ ОПУБЛИКОВАНИЕ
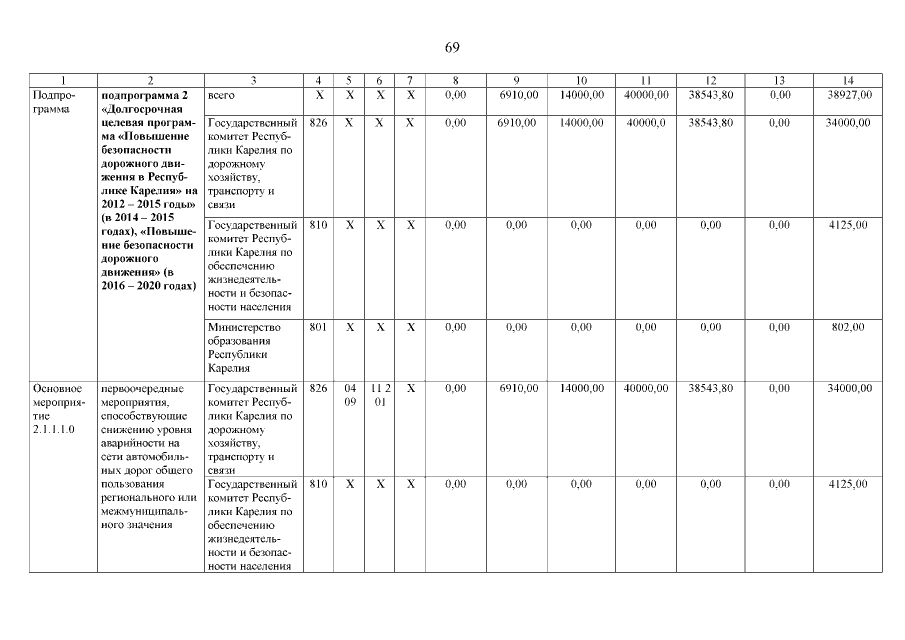
Постановление Правительства Республики Карелия от 17.07.2017 № 244-П
"О внесении изменений в постановление Правительства Республики Карелия от 20 июня 2014 года № 197-П"
Номер опубликования: 1000201707190004
Дата опубликования: 19.07.2017
Страница №69 из 107:
Увеличить