Официальное опубликование правовых актов
ОФИЦИАЛЬНОЕ ОПУБЛИКОВАНИЕ
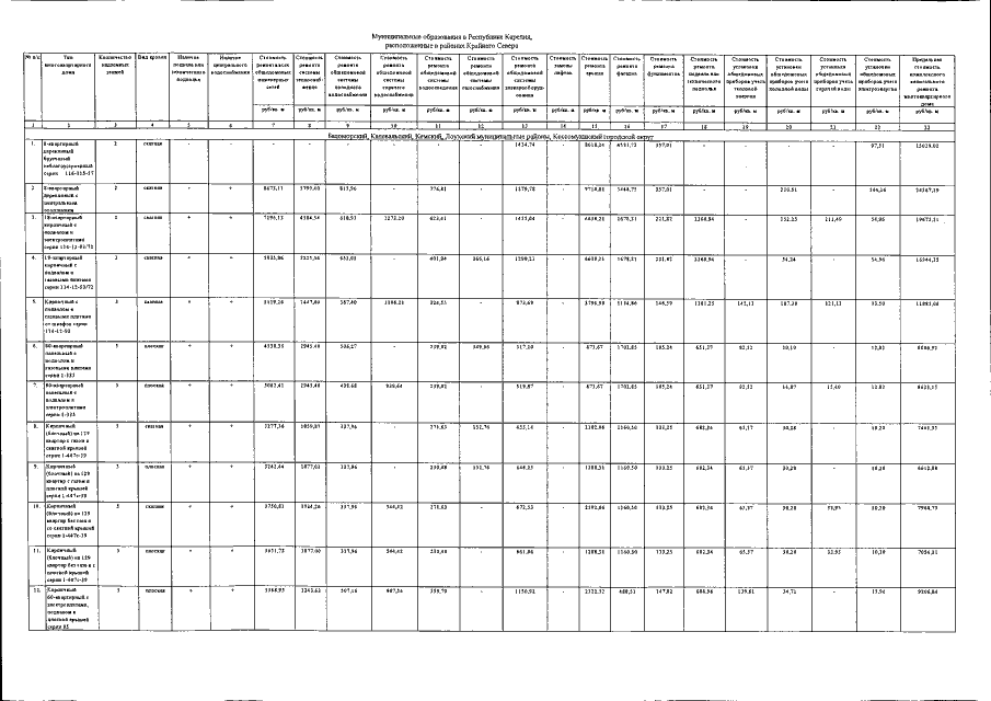
Постановление Правительства Республики Карелия от 28.12.2017 № 477-П
"Об установлении размера предельной стоимости услуг и (или) работ по капитальному ремонту общего имущества в многоквартирном доме"
Номер опубликования: 1000201712290013
Дата опубликования: 29.12.2017
Страница №6 из 7:
Увеличить