Официальное опубликование правовых актов
ОФИЦИАЛЬНОЕ ОПУБЛИКОВАНИЕ
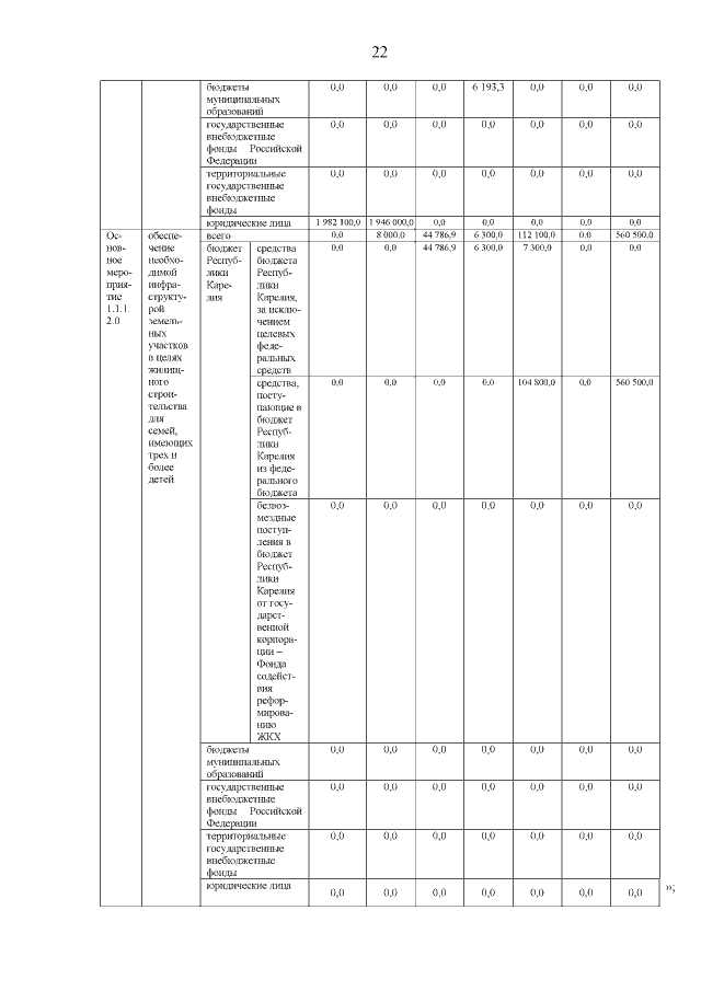
Постановление Правительства Республики Карелия от 12.01.2018 № 7-П
"О внесении изменений в постановление Правительства Республики Карелия от 26 ноября 2014 года № 351-П"
Номер опубликования: 1000201801170001
Дата опубликования: 17.01.2018
Страница №17 из 25:
Увеличить