Официальное опубликование правовых актов
ОФИЦИАЛЬНОЕ ОПУБЛИКОВАНИЕ
Постановление Правительства Республики Карелия от 28.11.2023 № 543-П
"О внесении изменений в постановление Правительства Республики Карелия от 28 декабря 2022 года № 760-П"
Номер опубликования: 1000202311290002
Дата опубликования: 29.11.2023
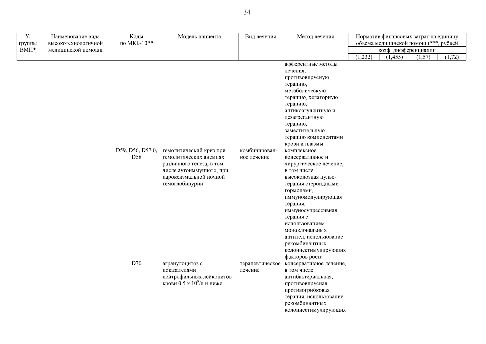
Страница №34 из 125:
Увеличить