Официальное опубликование правовых актов
ОФИЦИАЛЬНОЕ ОПУБЛИКОВАНИЕ
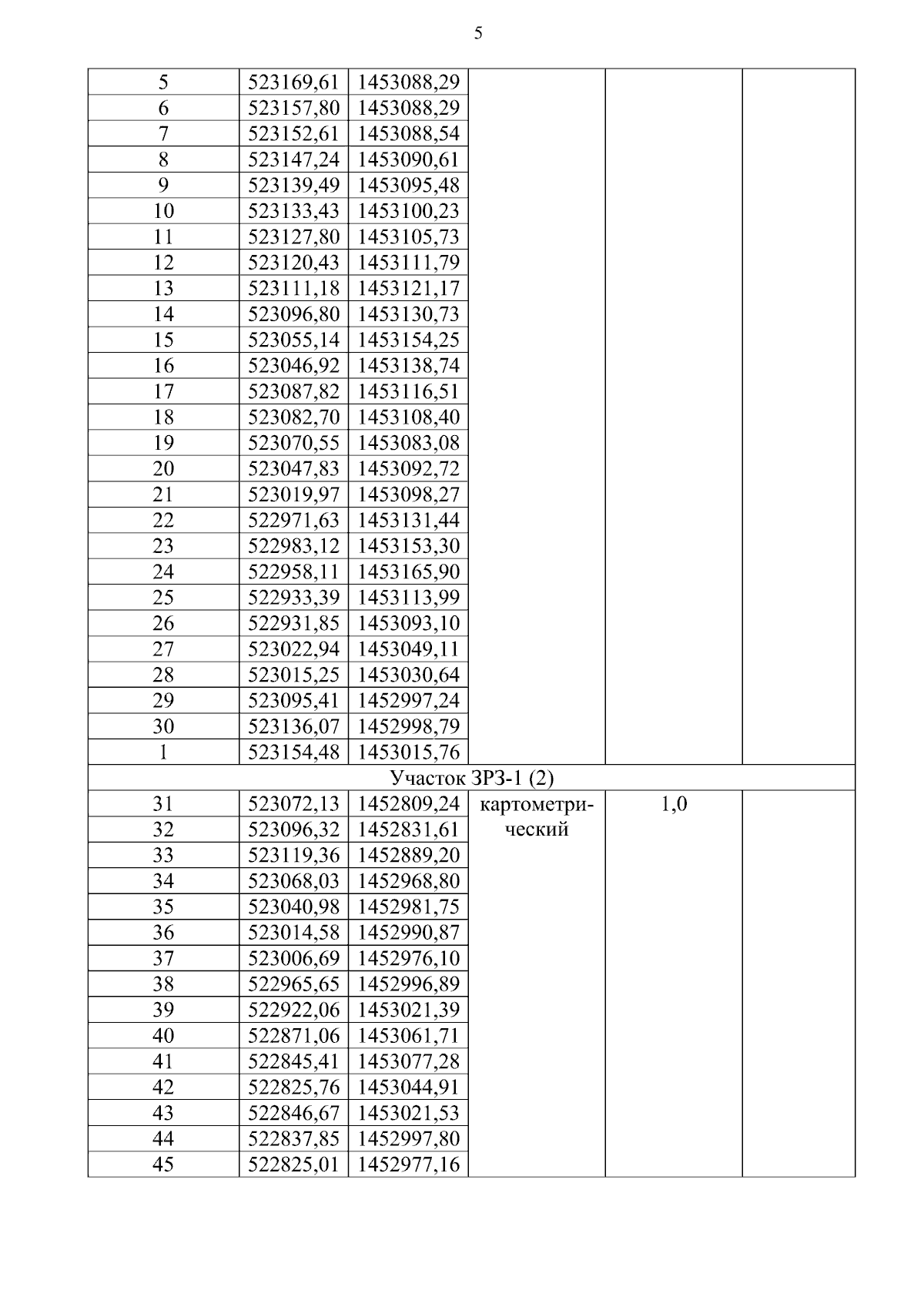
Постановление Правительства Республики Карелия от 29.05.2024 № 165-П
"Об установлении зон охраны объекта культурного наследия федерального значения "Троицкая часовня (деревянная)", XVII – XVIII вв., расположенного по адресу: Республика Карелия, Медвежьегорский район, д. Юккогуба, и утверждении требований к градостроительным регламентам в границах территорий данных зон"
Номер опубликования: 1000202405300005
Дата опубликования: 30.05.2024
Страница №7 из 27:
Увеличить