Официальное опубликование правовых актов
ОФИЦИАЛЬНОЕ ОПУБЛИКОВАНИЕ
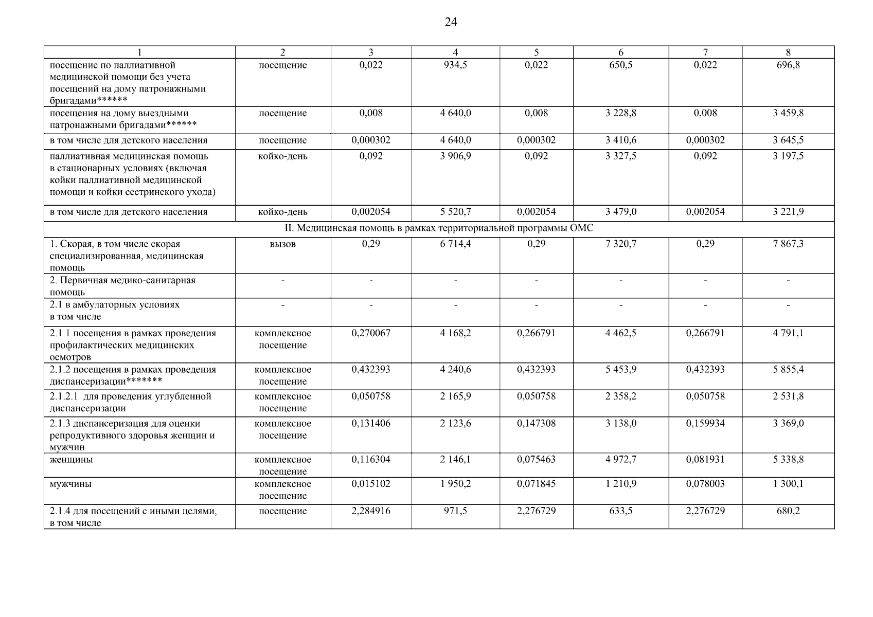
Постановление Правительства Республики Карелия от 02.09.2025 № 311-П
"О внесении изменений в постановление Правительства Республики Карелия от 28 декабря 2024 года № 484-П"
Номер опубликования: 1000202509080003
Дата опубликования: 08.09.2025
Страница №24 из 28:
Увеличить