Официальное опубликование правовых актов
ОФИЦИАЛЬНОЕ ОПУБЛИКОВАНИЕ
Постановление Правительства Республики Карелия от 04.02.2026 № 34-П
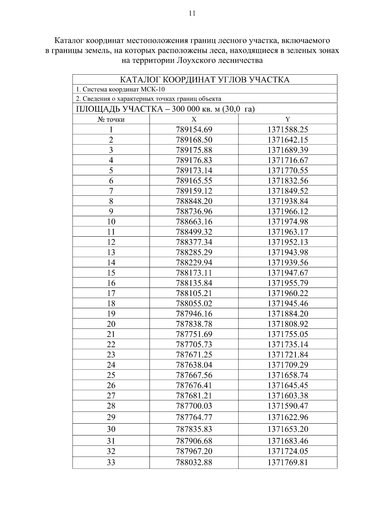
"Об изменении границ земель, на которых расположены леса, находящиеся в зеленых зонах на территории Лоухского лесничества Республики Карелия"
Номер опубликования: 1000202602050010
Дата опубликования: 05.02.2026
Страница №13 из 14:
Увеличить