Официальное опубликование правовых актов
ОФИЦИАЛЬНОЕ ОПУБЛИКОВАНИЕ
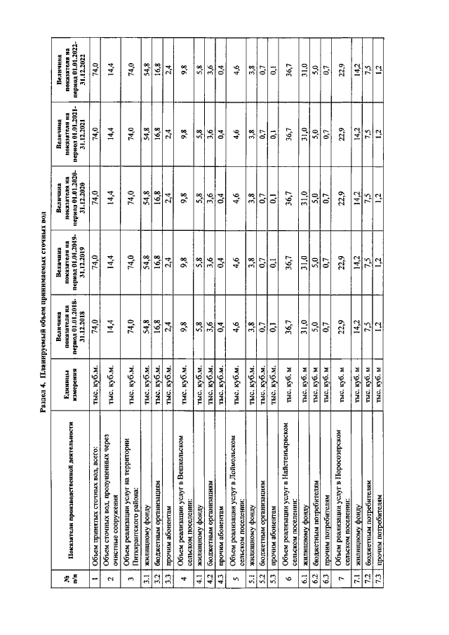
Постановление Государственного комитета Республики Карелия по ценам и тарифам от 06.12.2017 № 116
"О тарифах общества с ограниченной ответственностью "Водоканал" на питьевое водоснабжение и водоотведение (территория оказания услуг – Вешкельское, Лоймольское, Найстенъярвское и Поросозерское сельские поселения Суоярвского муниципального района)"
Номер опубликования: 1001201712080016
Дата опубликования: 08.12.2017
Страница №9 из 14:
Увеличить