Официальное опубликование правовых актов
ОФИЦИАЛЬНОЕ ОПУБЛИКОВАНИЕ
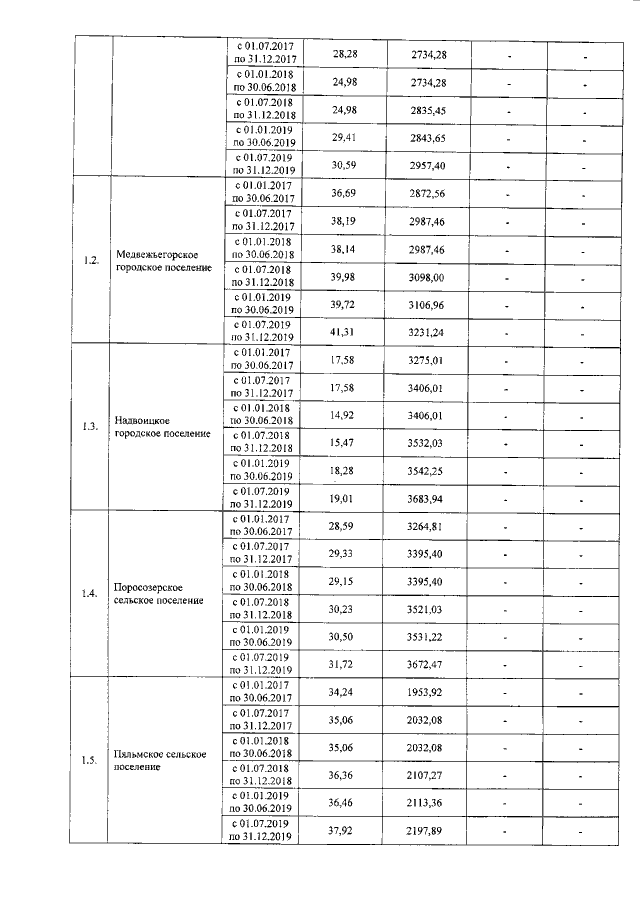
Постановление Государственного комитета Республики Карелия по ценам и тарифам от 20.12.2017 № 206
"О внесении изменения в постановление Государственного комитета Республики Карелия по ценам и тарифам от 14 декабря 2016 года № 182"
Номер опубликования: 1001201712250005
Дата опубликования: 25.12.2017
Страница №2 из 3:
Увеличить