Официальное опубликование правовых актов
ОФИЦИАЛЬНОЕ ОПУБЛИКОВАНИЕ
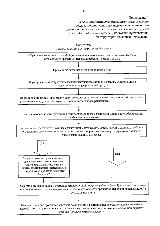
Приказ Министерства социальной защиты Республики Карелия от 18.02.2019 № 82-П
"Об утверждении Административного регламента предоставления государственной услуги по выдаче заключения органа опеки и попечительства о возможности временной передачи ребенка (детей) в семьи граждан, постоянно проживающих на территории Российской Федерации"
Номер опубликования: 1001201902200003
Дата опубликования: 20.02.2019
Страница №31 из 33:
Увеличить