Официальное опубликование правовых актов
ОФИЦИАЛЬНОЕ ОПУБЛИКОВАНИЕ
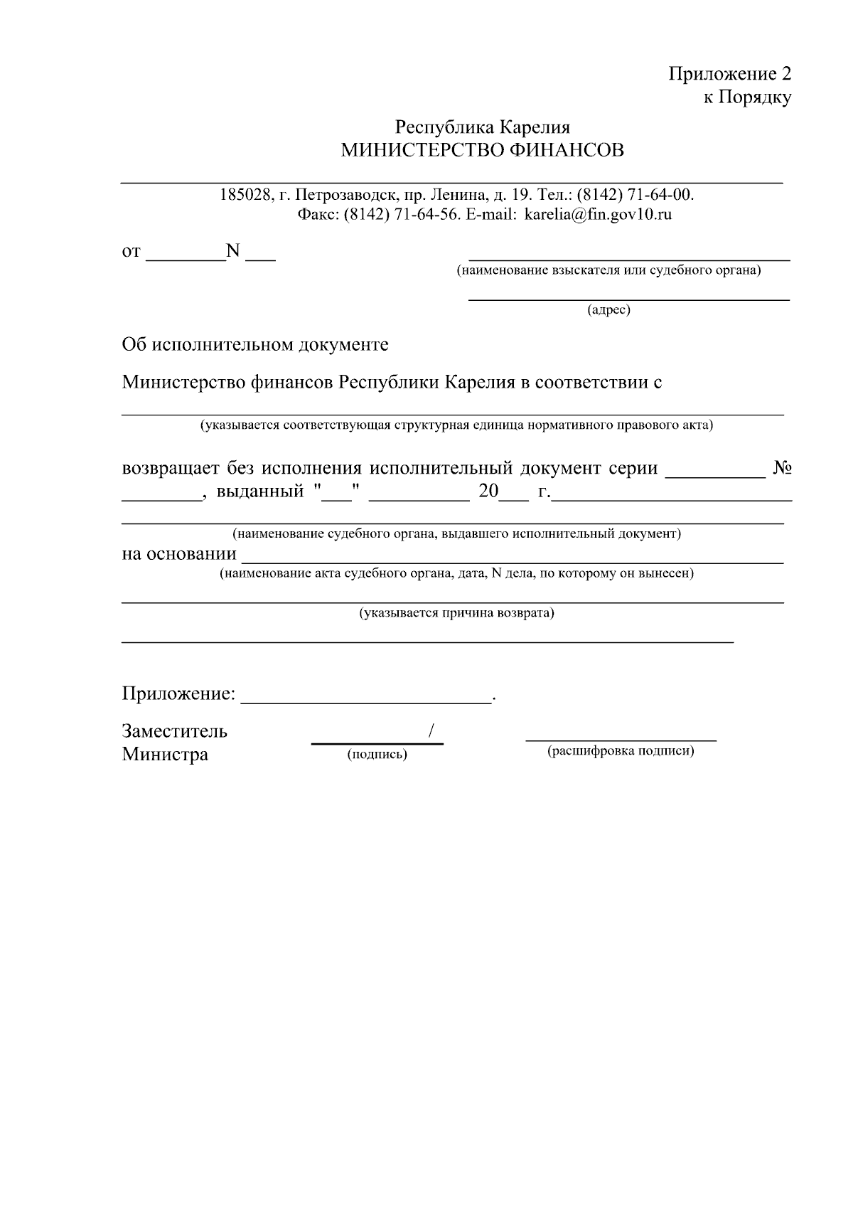
Приказ Министерства финансов Республики Карелия от 08.09.2025 № 613
"О внесении изменения в приказ Министерства финансов Республики Карелия от 12 марта 2019 года № 123"
Номер опубликования: 1001202509110001
Дата опубликования: 11.09.2025
Страница №9 из 12:
Увеличить