Официальное опубликование правовых актов
ОФИЦИАЛЬНОЕ ОПУБЛИКОВАНИЕ
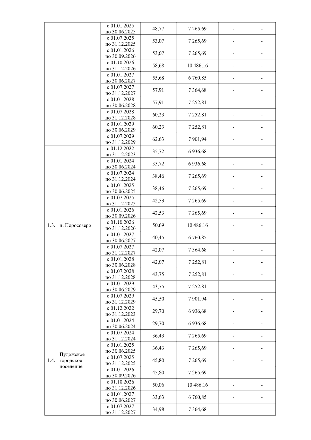
Постановление Государственного комитета Республики Карелия по ценам и тарифам от 19.12.2025 № 224
"О внесении изменений в постановление Государственного комитета Республики Карелия по ценам и тарифам от 28 ноября 2022 года № 204"
(Зарегистрирован 24.12.2025 № 1223)
Номер опубликования: 1001202512240015
Дата опубликования: 24.12.2025
Страница №4 из 6:
Увеличить